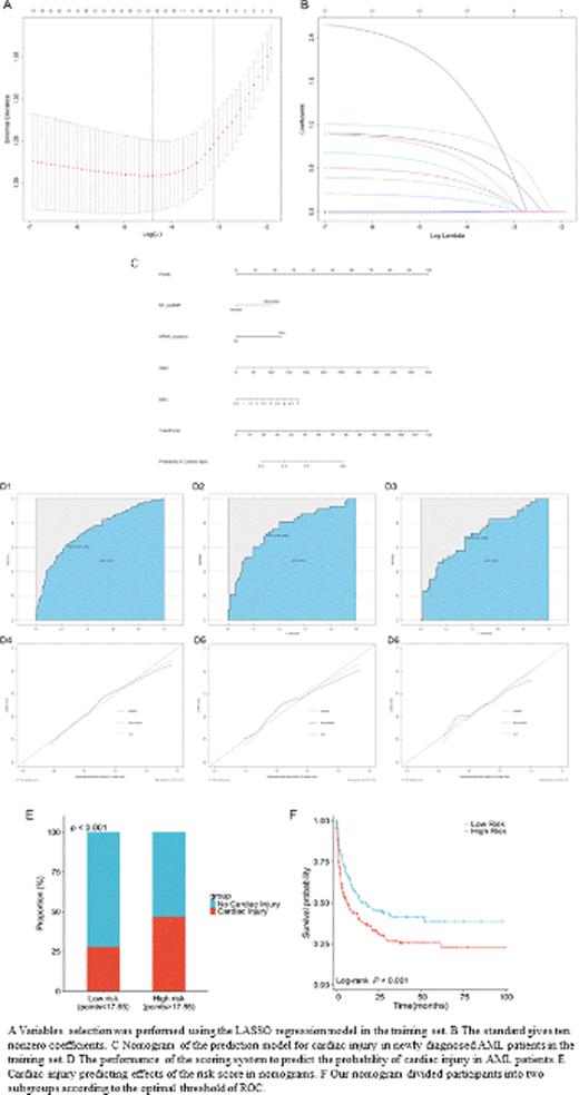
Studies have revealed that acute myeloid leukemia (AML) patients are prone to combined cardiac injury. We aimed to identify hematological risk factors associated with cardiac injury in newly diagnosed AML patients before chemotherapy and develop a personalized predictive model. The population baseline, blood test, electrocardiogram, echocardiograph, and genetic and cytogenetic data were collected from 499 newly diagnosed AML patients. The data were subdivided into training and validation cohorts. After univariate logistic regression, least absolute shrinkage and selection operator regression, and multivariate logistic regression analysis, abnormal NT-proBNP, NPM1 mutation, WBC, and RBC were independent risk factors for cardiac injury in AML patients (all p<0.05). The nomogram was constructed based on the above four variables with high accuracy. The area under the curve was 0.742, 0.750, and 0.706 in the training, internal validation, and external validation cohort, respectively. The calibration curve indicated that the model has good testing capability. The Kaplan-Meier curve showed that the higher the risk of combined cardiac injury in AML patients, the lower their probability of survival. This prediction nomogram identifies hematological risk factors associated with cardiac injury in newly diagnosed AML patients and can help hematologists identify the risk and provide precise treatment options.
Key words: acute myeloid leukemia, risk factor, prediction model, inflammation, cardiac injury
Disclosures
No relevant conflicts of interest to declare.
